题目描述
给你一个二叉树的根节点 root,检查它是否轴对称。
示例 1:

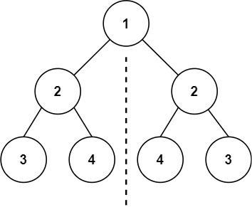
输入:root = [1,2,2,3,4,4,3]
输出:true
示例 2:

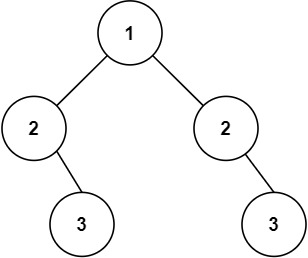
输入:root = [1,2,2,null,3,null,3]
输出:false
思路&js代码
1、递归
const check = (p: TreeNode | null, q: TreeNode | null): boolean => {
if (!p && !q) return true;
if (!p || !q) return false;
return p.val === q.val && check(p.left, q.right) && check(p.right, q.left);
}
var isSymmetric = function(root: TreeNode | null): boolean {
return check(root.left, root.right);
};
2、迭代
const check = (u: TreeNode | null, v: TreeNode | null): boolean => {
const q: (TreeNode | null)[] = [];
q.push(u),q.push(v);
while (q.length) {
u = q.shift()!;
v = q.shift()!;
if (!u && !v) continue;
if ((!u || !v) || (u.val !== v.val)) return false;
q.push(u.left);
q.push(v.right);
q.push(u.right);
q.push(v.left);
}
return true;
}
var isSymmetric = function(root: TreeNode | null): boolean {
return check(root, root);
};