题目描述
给你一个整数数组 nums,其中元素已经按 升序 排列,请你将其转换为一棵 平衡 二叉搜索树。
示例 1:

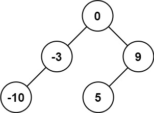
输入:nums = [-10,-3,0,5,9]
输出:[0,-3,9,-10,null,5]
解释:[0,-10,5,null,-3,null,9] 也将被视为正确答案:

示例 2:

输入:nums = [1,3]
输出:[3,1]
解释:[1,null,3] 和 [3,1] 都是高度平衡二叉搜索树。
思路&js代码
1、中序遍历
var sortedArrayToBST = function(nums) {
// 把 nums[left] 到 nums[right-1] 转成平衡二叉搜索树
function dfs(left, right) {
if (left === right) {
return null;
}
const m = Math.floor((left + right) / 2);
return new TreeNode(nums[m], dfs(left, m), dfs(m + 1, right));
}
return dfs(0, nums.length);
};