题目描述

给你一棵二叉树的根节点 root,翻转这棵二叉树,并返回其根节点。

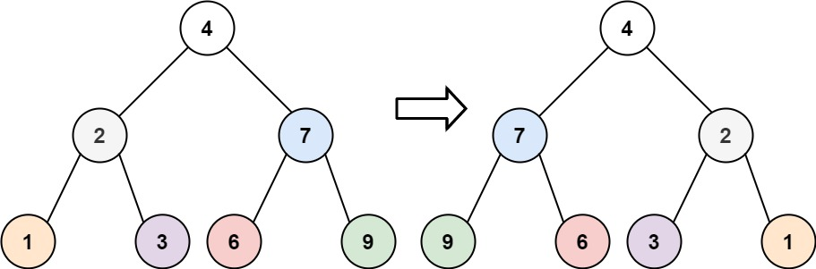
示例 1:
输入:root = [4,2,7,1,3,6,9]
输出:[4,7,2,9,6,3,1]

示例 2:
输入:root = [2,1,3]
输出:[2,3,1]

示例 3: 输入:root = []
输出:[]

思路&js代码

1、递归

var invertTree = function(root) {
    if (root === null) {
        return null;
    }
    const left = invertTree(root.left);
    const right = invertTree(root.right);
    root.left = right;
    root.right = left;
    return root;
};