题目描述
给你一个二叉树的根节点 root,判断其是否是一个有效的二叉搜索树。
有效 二叉搜索树定义如下:
节点的左子树只包含 小于 当前节点的数。 节点的右子树只包含 大于 当前节点的数。 所有左子树和右子树自身必须也是二叉搜索树。
示例 1:

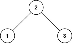
输入:root = [2,1,3]
输出:true
示例 2:

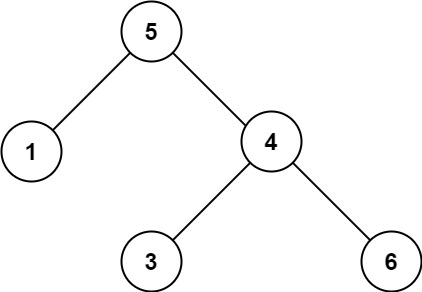
输入:root = [5,1,4,null,null,3,6]
输出:false
解释:根节点的值是 5,但是右子节点的值是 4。
思路&js代码
1、递归
const helper = (root, lower, upper) => {
if (root === null) {
return true;
}
if (root.val <= lower || root.val >= upper) {
return false;
}
return helper(root.left, lower, root.val) && helper(root.right, root.val, upper);
}
var isValidBST = function(root) {
return helper(root, -Infinity, Infinity);
};2、中序遍历
二叉搜索树「中序遍历」得到的值构成的序列一定是升序的,这启示我们在中序遍历的时候实时检查当前节点的值是否大于前一个中序遍历到的节点的值即可。如果均大于说明这个序列是升序的,整棵树是二叉搜索树,否则不是,下面的代码我们使用栈来模拟中序遍历的过程。
var isValidBST = function(root) {
let stack = [];
let inorder = -Infinity;
while (stack.length || root !== null) {
while (root !== null) {
stack.push(root);
root = root.left;
}
root = stack.pop();
// 如果中序遍历得到的节点的值小于等于前一个 inorder,说明不是二叉搜索树
if (root.val <= inorder) {
return false;
}
inorder = root.val;
root = root.right;
}
return true;
};